The XENON100 experiment, which searches for dark matter particles, just released it’s most recent results, and unfortunately the collaboration saw no evidence of dark matter. This null result is disappointing, but it is a good segue into discussing dark matter, what it is, and how one could expect to see it.
The first hint that there was something out there in the universe that we didn’t know about, or didn’t even know that we didn’t know about it, came in the 80s when scientists were studying the rotations of galaxies. Galaxies, like our own spiral Milky Way, spin like a disk or a frisbee, and we can measure the speed of these stars swirling around their center. Using standard newtonian physics, one would expect stars that are far away from the center of the galaxy to revolve slower than stars that are closer to the galactic center. However, when scientists looked out into deep space and studied galaxies, they noticed that the speed of starts revolving around the center of the galaxy didn’t fall off as expected. Instead, the speed of outer starts was nearly the same as the speed of inner stars.

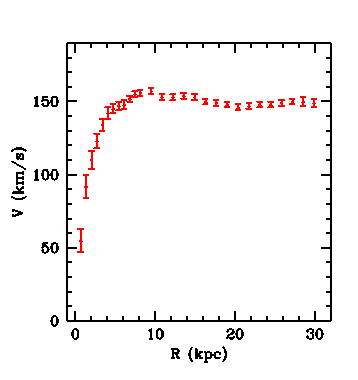
The rotation curve for the galaxy NGC3198 (from Begeman K. G., 1989, A&A, 223, 47)
The above plot shows that the velocity of stars as a function of radius plateaus for high values of R, indicating that the speed doesn't depending on the radius from the center of galaxy as one would expect. This puzzling discovery led to the concept of Dark Matter. Scientists realized that these anomalous rotation curves could be explained if there was actually more mass in the galaxies being studied than we could see. If there were a large blob-like halo of invisible matter, then these curves could be understood without throwing out the known laws of physics. While it may seem somewhat of a stretch to invent a particle or class of particles to explain this measurement, it’s really in some way the simplest solution that the observations allow. These measurements of stellar velocities have been repeated and confirmed many times, so the experimental data is sound. The only other option to explain the anomalous stellar velocities would be to reject our well known laws of gravity, and doing so would certainly be more drastic than hypothesizing Dark Matter.
So, having proposed the presence of Dark Matter to explain galactic rotations, scientists sought to determine in what other ways Dark Matter, if it exists, could be observed and measured. Dark Matter, like any other theory, is only useful if it makes predictions (other than those it was designed to explain) which turn out to be accurate. For example, although Dark Matter doesn’t interact with light (which is why we can’t see it, why it’s dark) it feels the force of gravity. Therefore, the presence of a invisible matter throughout a galaxy will, according to Einstein, cause light to be bent and distorted by its gravity (in a way similar to how light is bent by glass or water). So, if one can’t see Dark Matter directly, one should be able to infer its presence by finding the distortions of light (think of a person trying to identify the presence of a glass of water by shining a flashlight through it and onto a piece of paper and seeing if the light on the paper bends and wobbles around).

(Plot from arXiv:astro-ph/0307212v1)
While there is enough evidence to convince many that Dark Matter is real, scientists remain unsure of what exactly makes up the Dark Matter. There are countless models, and there are many constraints to what type of particle or particles it could be, but no one knows for sure. The main reason for this uncertainty is that no one has ever detected Dark Matter directly. The experiments I described look for dark matter through its effects on stars and light. But no one has, for example, had a Dark Matter particle hit his detector and get a blip on a readout device. It hasn’t yet been seen in a laboratory, though many are trying.
The principle behind direct detection of Dark Matter is somewhat simple. If Dark Matter is floating all around the galaxy, then we should be passing through clouds of it almost all the time. And eventually a particle in one of these clouds could eventually hit a detector. The problem, of course, is that Dark Matter is “dark,” meaning that it interacts very weakly with the matter we use in detectors (otherwise we’d be able to see it very easily). So, interactions between Dark Matter and a detector would be very rare. The name of the game is to build very large detectors with very little background (things that could fake dark matter signals). Scientists have built several such detectors which look for a very small amount of dark matter signal. One must have patience for this sort of game.
One such experiment is XENON100. The XENON100 detector is a large container of liquid Xenon surrounded by detectors which look for light (Photo-Multiplier Tubes, or PMTs). The design principle is that Dark Matter particles will enter the detector and collide with the liquid Xenon. When they do, they will give off light which will be seen by the photon detectors. It’s a seemingly simple setup, but like all experimental physics, the devil is in the details. They key is to eliminate any sources of contamination and prevent anything that may fake a Dark Matter signal from entering the detector. For this reason, the detector is located underground in the Gran Sasso mountain laboratory in Italy. This prevents cosmic rays from contaminating the detector.
And so, the XENON100 experiment recently released its newest round of results. And, unfortunately, they haven’t seen anything other than what they would expect to see if Dark Matter didn’t exist. The following plot shows what they saw.

(Plot from http://arxiv.org/abs/1104.2549)
The x-axis is the energy of the observed particle interacting with the detector, and the y-axis measures the ratio of the arrival time for two signals that are given off by the particle (this variable is a good way to separate Dark Matter particles from background). The gray points are where one would expect to see dark matter particles, and the black points are what was actually observed. The black points in red are the events that land in the signal region (which is delimited by the purple lines). Only three events entered the signal region, which is consistent with background. So, what does this mean? Though it’s not excellent news for Dark Matter, it may simply indicate that Dark Matter is more complicated than our most naive models. It may have more structure and be more diverse than what we are now able to measure.

(Plot from http://arxiv.org/abs/1104.2549)
With these results, scientists are able to put limits on the properties of Dark Matter particles. The null experimental result constrains the type of Dark Matter that can exist (in other words, if it had certain properties, we would have already seen it in the data we've collected). In the above plot, the solid purple curve represents the limits placed by Xenon100's latest results. The x-axis is the mass of the dark matter particle, and the y-axis represents it's cross section (mean, how easily it interacts with matter). Any points ABOVE the the line have been excluded (at 95% confidence level) by the new Xenon data. Better limits mean excluding more dark matter scenarios (disproving something can be almost as interesting to a physicist as proving it), and curves in the above plot which lie down and to the left of the graph place stronger limits.
So, while scientists still haven't directly detected Dark Matter, there is ample evidence for it's existence. It just now appears that Dark Matter is more mysterious and elusive than we had initially hoped.